产品中心
Product
产品中心
PRODUCTS CENTER
真空泵
R5 KB 0020–0040 D/F 油润滑旋片真空泵
R5 KB 0020–0040 D/F
油润滑旋片真空泵

性能卓越,适用于狭小空间
结构紧凑
直联驱动结构,高度和重量减小,适合安装在真空包装机中
可靠
结构坚固耐用,高度耐用的叶片,久经验证的旋片技术,使用寿命长
灵活
有多种选装件可供选择,可以根据每位客户的要求和工艺轻松调整
技术规格
| 技术参数 | R5 KB 0020 D | R5 KB 0025 F | R5 KB 0040 D |
|---|---|---|---|
| 额定抽速 | 20 m³/h | 25 m³/h | 40 m³/h |
| 极限压力 | 2.0 hPa (mbar) | 2.0 hPa (mbar) | 2.0 hPa (mbar) |
| 电机额定功率 | 0.75 kW | 0.9 kW | 1.5 kW |
| 电机额定转速 | 3000 min⁻¹ | 3000 min⁻¹ | 3000 min⁻¹ |
| 声压级(ISO 2151),KpA = 3 dB | 68 dB(A) | 68 dB(A) | 69 dB(A) |
| 注油量 | 0.45 l | 0.45 l | 0.8 l |
| 重量(约) | 19 kg | 20 kg | 29 kg |
| 尺寸(L x W x H) | 342 x 274 x 208 mm | 335 x 252 x 231 mm | 404 x 253 x 246 mm |
| 进气口 | G ¾" | G ¾" | G 1¼" |
| 排气口 | – | – | G 1¼" |
尺寸图
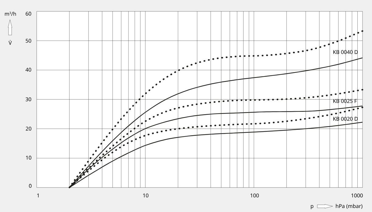
R5 KB 0020–0040 D/F

抽速
空气温度为 20°C 时, 公差:± 10%

市场和应用
车辆及运输
- 3D 打印
糖果
- 包装材料和包装
乳制品
- 奶酪生产 - 真空包装
水产养殖
- 真空运输
- 真空包装
- 冷却用冰块的负压气力输送
- 屠宰废弃物的抽出
- 鱼卵分类
- 纸箱包装
- 气调包装
食品加工
- 骨粉加工
- 肉类装罐机
冶金
- 3D 打印
包装
- 吸塑包装
- 贴标
- 台式箱式机
- 剪断机
- 台式箱式包装机
- 装盒机
- 托盘上料系统
塑料加工
- 真空装袋
- 热成型
- 树脂运输模塑(RTM)
- 注塑成型
制冷和空调
- 抽真空和填充
木材加工
- 气力输送
配件
气镇阀
各种进气过滤器
过滤器压力表
油位开关
适合几乎所有应用的真空泵油
真空调节装置