产品中心
Product
产品中心
PRODUCTS CENTER
真空泵
R5 RA 1000 B ECOTORQUE 油润滑旋片真空泵
R5 RA 1000 B ECOTORQUE
油润滑旋片真空泵

R5 RA ECOTORQUE
高效
采用变速驱动(ECOTORQUE)、带自动启动和停止功能的 Ecomode,节约能源高达 50%
性能出色
低压下仍具备高抽速,专为持续运行而设计
灵活性
根据工艺要求精确调节真空度(压力控制器)和抽气速率(速度控制器),兼容各种电源电压,使用可选的 ECOTORQUE 主控制器可轻松控制和监控多达八台真空泵
技术规格
| 技术参数 | R5 RA 1000 B ECOTORQUE |
|---|---|
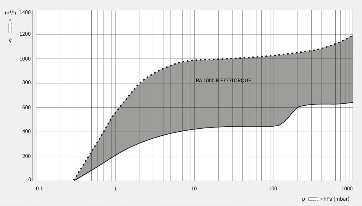
| 额定抽速 | 440 – 1200 m³/h |
| 极限压力(气镇阀关闭) | 0.3 hPa (mbar) |
| 电机额定转速 | 500 – 1200 min⁻¹ |
| 全速时的声压级(ISO 2151),KpA = 3 dB | 80 dB(A) |
| 注油量 | 30 l |
| 重量(约) | 1300 kg |
| 尺寸(L x W x H) | 1965 x 1091 x 1014 mm |
| 进气口 | DN 150 |
| 排气口 | DN 125 |
尺寸图
R5 RA 1000 B ECOTORQUE

抽速
空气温度为 20°C 时, 公差:± 10%
