产品中心
Product
产品中心
PRODUCTS CENTER
真空泵
R5 RA 1000/1600 B 油润滑旋片真空泵
R5 RA 1000/1600 B
油润滑旋片真空泵

适合众多真空应用的“全面能手”
可靠
结构坚固耐用,高弹性碳纤维叶片,久经验证的旋片技术,使用寿命长
性能出色
低压下仍具备高抽速,专为持续运行而设计
灵活
有多种选装件可供选择,可以根据每位客户的要求和工艺轻松调整,标配有液位和温度开关
技术规格
| 技术参数 | R5 RA 1000 B | R5 RA 1600 B |
|---|---|---|
| 额定抽速 | 1000 m³/h | 1600 m³/h |
| 极限压力 | 0.3 hPa (mbar) | 0.3 hPa (mbar) |
| 电机额定功率 | 22.0 kW | 30.0 kW |
| 电机额定转速 | 1000 min⁻¹ | 1000 min⁻¹ |
| 100 mbar 时的功耗 | 17.3 kW | 26.8 kW |
| 极限压力时的功耗 | 9.3 kW | 13.8 kW |
| 声压级(ISO 2151),KpA = 3 dB | 82 dB(A) | 83 dB(A) |
| 注油量 | 30 l | 30 l |
| 重量(约) | 1000 kg | 1330 kg |
| 尺寸(L x W x H) | 1894 x 1003 x 936 mm | 2234 x 1040 x 936 mm |
| 进气口 | DN 150 | DN 150 |
| 排气口 | DN 125 | DN 125 |
尺寸图
R5 RA 1000/1600 B

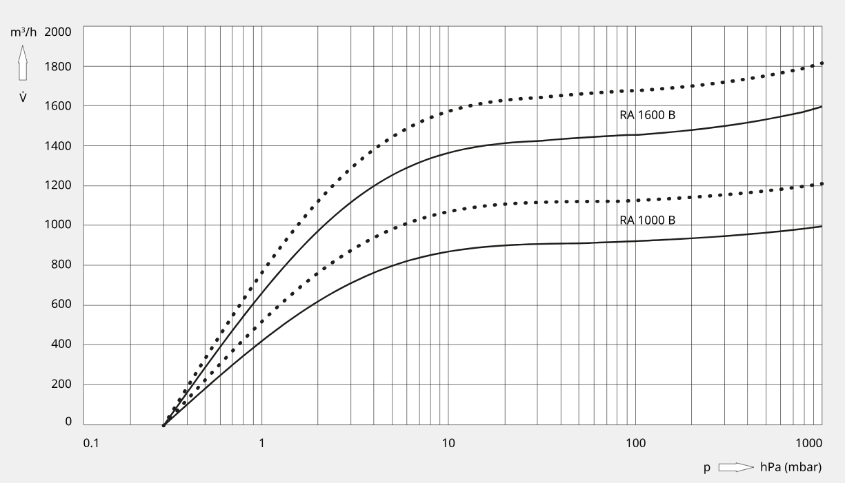
抽速
空气温度为 20°C 时, 公差:± 10%

市场和应用
车辆及运输
- 真空排污
- 电子束焊
电池
- 脱气
- 混合
- 浸渍
- 真空干燥
- 灌注电解液
沼气处理
- 升级:变压吸附
碳捕获
- 直接空气捕获
糖果
- 包装材料和包装
- 成型和成形加工
- 真空挤出
- 混合 准备和烹饪
乳制品
- 奶酪生产 - 奶酪真空室
- 奶酪生产 - 气力输送
- 奶酪生产 - 奶酪塔
- 奶酪生产 - 真空包装
- 奶粉 - 奶粉搬运
- 黄油生产
水产养殖
- 真空运输
- 真空包装
- 冷却用冰块的负压气力输送
- 屠宰废弃物的抽出
- 气调包装
- 热成型
食品加工
- 湿食物垃圾气力输送系统
- 搅肉杯和腌肉机
- 骨粉加工
- 真空冷却
- 冷冻干燥
- 巴氏消毒和灭菌
- 切肉机
- 饮料灌装
医疗
- 医疗吸引
冶金
- 电子束焊
石油和天然气
- 蒸汽回收
包装
- 大型工业用箱式机
- 吸塑包装
- 圆盘/转盘包装机
- 中央真空系统
- 热成型包装机 - 密封 / 抽真空站
- 托盘封口机
发电
- 绿色能源生产
- 变压器干燥
- 变压器油净化
污水处理
- 真空排污
配件
IEC(IE3)和 NEMA 电机
多电压、多频率电机(IE3)
可选变速驱动
单气镇阀或双气镇阀,可手动或通过电磁阀操控
各种进气过滤器
进气过滤器压力表
各种温度表和压力表
启动开关
油雾分离器
热量回收组件,配备换热器
适合所有应用的真空泵油