产品中心
PRODUCTS CENTER
真空泵
R5 RA 0063/0100 F
R5 RA 0063/0100 F
油润滑旋片真空泵

适合众多真空应用的“全面能手”
可靠
结构坚固耐用,高度耐用的纤维增强环氧树脂叶片,久经验证的旋片技术,使用寿命长
性能出色
低压下仍具备高抽速,专为持续运行而设计
灵活
有多种选装件可供选择,可以根据每位客户的要求和工艺轻松调整
技术规格
| 技术参数 | R5 RA 0063 F | R5 RA 0100 F |
|---|---|---|
| 额定抽速 | 63 m³/h | 100 m³/h |
| 极限压力(气镇阀关闭) | 0.1 ... 0.5 hPa (mbar) | 0.1 ... 0.5 hPa (mbar) |
| 极限压力(气镇阀开启) | 0.5 ... 1.5 hPa (mbar) | 0.5 ... 1.5 hPa (mbar) |
| 电机额定功率 | 2.0 kW | 2.7 kW |
| 电机额定转速 | 1500 min⁻¹ | 1500 min⁻¹ |
| 100 mbar 时的功耗 | 1.3 kW | 1.9 kW |
| 极限压力时的功耗 | 0.7 kW | 1.2 kW |
| 声压级(ISO 2151),KpA = 3 dB | 64 dB(A) | 65 dB(A) |
| 注油量 | 2.0 l | 2.0 l |
| 重量(约) | 55 kg | 75 kg |
| 尺寸(L x W x H) | 633 x 406 x 289 mm | 693 x 406 x 288 mm |
| 进气口 | G 1¼" | G 1¼" |
| 排气口 | G 1¼" | G 1¼" |
尺寸图
R5 RA 0063/0100 F

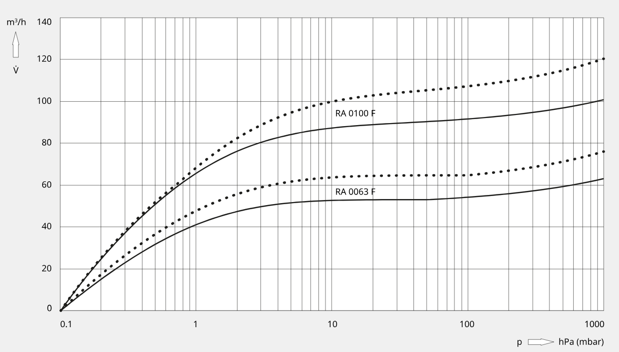
抽速
空气温度为 20°C 时, 公差:± 10%

市场和应用
车辆及运输
- 真空清洁 / 要清洁的部件
- 泄漏检测和 EoL 测试
- 真空排污
- 液体排空和充注
电池
- 脱气
- 混合
- 浸渍
- 泄漏检测和 EoL 测试(主控)
- 循环利用
- 真空干燥
- 灌注电解液
碳捕获
- 膜分离捕获
- 胺洗涤
- 变压吸附
- 移动床工艺
化学品
- 包装
- 过滤、脱气
- 蒸馏、溶剂回收
- 蒸发、干燥
- 冷冻干燥、冻干法
糖果
- 包装材料和包装
- 成型和成形加工
- 真空挤出
- 混合 准备和烹饪
乳制品
- 挤奶
- 奶酪生产 - 真空包装
水产养殖
- 真空运输
- 真空包装
- 冷却用冰块的负压气力输送
- 屠宰废弃物的抽出
- 鱼卵分类
- 纸箱包装
- 气调包装
- 热成型
食品加工
- 搅肉杯和腌肉机
- 骨粉加工
- 真空冷却
- 肉类装罐机
- 冷冻干燥
- 巴氏消毒和灭菌
- 切肉机
- 饮料灌装
氢能经济
- 氢气存储和配送
- 泄漏检测和 EoL 测试(主控)
医疗
- 医疗吸引
冶金
- 压铸
包装
- 独立式箱式机
- 成型
- 液体包装
- 吸塑包装
- 热成型机 - 成型站
- 热成型包装机 - 密封 / 抽真空站
- 剪断机
- 装盒机
- 托盘封口机
- 托盘上料系统
制药与生物技术
- 冷冻干燥、冻干法
- 蒸馏、溶剂回收
- 过滤、脱气
- 蒸发、干燥
- 包装
塑料加工
- 真空装袋
- 热成型
- 干燥、脱气、溶解
- 树脂运输模塑(RTM)
- 注塑成型
研发
- 冷冻干燥、冻干法
制冷和空调
- 抽真空和填充
- 泄漏检测和 EoL 测试
- 真空干燥
技术气体
- 液化
- 气体运输
- 真空隔热
- 装瓶
污水处理
- 真空排污
木材加工
- 手动工作站夹紧
- 数控镂铣机夹紧
- 气力输送
配件
气镇阀
各种进气过滤器
过滤器压力表
油位开关
适合几乎所有应用的真空泵油
真空调节装置